Introduction
Avocado cultivation in the State of Mexico has increased considerably in recent years, having risen from 1,581 to 11,296 ha from 2003 to 2020. At present, this state ranks third in national production. This producing region comprises 31 municipalities, of which Coatepec Harinas (2,155 ha), Temascaltepec (1,558 ha), Donato Guerra (1,493 ha), Tenancingo (884 ha), Almoloya de Alquisiras (572 ha) and Villa de Allende (499 ha) account for 7,161 ha or 69.75 % of the cultivated area (Servicio de Información Agroalimentaria y Pesquera - Secretaría de Agricultura, Ganadería, Desarrollo Rural, Pesca y Alimentación [SIAP - SAGARPA], 2020). In the region, avocado thrives in different climates and soils, which has an impact on growth and development variables.
The avocado growth habit is monopodial, with indeterminate vegetative growth and shoots that predominantly end in a vegetative bud (Chanderbali, Soltis, Soltis, & Wolstenholme, 2013). Floral development produces both determinate and indeterminate inflorescences. The former arise when the primary axis ends in an inflorescence, and the latter, when a vegetative bud is formed at the end of the primary axis and continues the shoot growth (Schroeder, 1951; Salazar-García, Lord, & Lovatt, 1998). In the latter case, the vegetative bud of the inflorescence could develop a vegetative shoot and compete with the fruit (Wolstenholme, 2013). Thorp, Aspinall, and Sedgley (1994) proposed the term “growth module” for the grouping of branches that make up the architecture and growth habit of the tree, and established two types of shoots: proleptic and sylleptic. The former are axillary shoots that grow from dormant buds on previously formed nodes, and can be either vegetative or reproductive. Sylleptic shoots originate from a shoot with no previous dormancy period and a “contemporary” development, i.e., they grew during the same cycle and are vegetative. The Hass (Persea americana var. guatemalensis x Persea americana var. drymifolia) variety presents a balance between proleptic and sylleptic shoots (Chanderbali et al., 2013).
Avocado development is rhythmic (Thorp et al., 1994), and the allocation of its assimilates generates competition between vegetative and reproductive growth (Whiley, Wolstenholme, & Faber, 2013). The root system of this crop is shallow and distributed in the canopy zone of the tree (Scora, Wolstenholme, & Lavi, 2002). Feeder roots are mostly found 30 to 40 cm deep, and are distinguished by a whitish unsuberized color with few or no absorbing hairs (Chanderbali et al., 2013). Roots can penetrate 60 cm or more in favorable soils (Chanderbali et al., 2013; Wolstenholme, 2013), with adequate oxygenation, porous and rich in organic matter (Wolstenholme, 2013), such as andosols (Ferreyra et al., 2008).
Vegetative growth precedes root growth, and its intensity decreases with the crop load on the tree (Arpaia, Witney, Robinson, & Mickelbart, 1995). Low day/night temperatures (18/15 °C) have been shown to reduce plant growth, but induce flowering (Chaikiattiyos, Menzel, & Rasmussen, 1994). Santos-García (2013) reported optimum temperatures of 16.2 to 21.2 °C for ‘Hass’ avocado development in the State of Mexico.
Knowing the phenology of the plant and the environment in each production zone has enabled the integration of phenological models in Colombia, Spain, and Mexico, and has made technical management more efficient (Rocha-Arroyo, Salazar-García, Bárcenas-Ortega, González-Durán, & Cossio-Vargas, 2011; Alcaraz, Thorp, & Hormaza, 2013; Bernal-Estrada, Vásquez-Gallo, & Cartagena-Valenzuela, 2017). Phenological avocado models have been useful for regulating the nutrient supply according to root growth, controlling Phytophthora cinnamomi (Whiley, Saranah, Cull, & Pegg, 1988; Whiley, Saranah, & Wolstenholme, 1995; Whiley et al., 2013) and managing water (Rocha-Arroyo et al., 2011; Tapia-Vargas, Vidales-Fernández, & Larios-Guzmán, 2015). In the State of Mexico, ‘Hass’ is the predominant variety (Rubí-Arriaga et al., 2013), but its development in different zones remains unknown.
The heterogeneity of climatic and soil conditions present in the main avocado producing areas within the State of Mexico influences the growth, development, yield and quality of avocado fruit. Therefore, the objective of this study was to analyze, describe and quantify the phenological development of ‘Hass’ avocado in three contrasting environments in the production region within the State of Mexico.
Materials and methods
The study was carried out in three plots with different climatic and soil conditions, selected based on their differences in altitude, but with similar agronomic management. The plots are located in the municipalities of Coatepec Harinas, Temascaltepec and Ixtapan del Oro, within the producing zone in the State of Mexico (Table 1).
Table 1.
| Locality | North latitude, West longitude, elevation | Climate type | Precipitation coefficient - annual rainfall | Predominant soil | Similar municipalities in terms of climate and soil |
|---|---|---|---|---|---|
| Coatepec Harinas “La Javiela” | 18° 58’ 36.99”, 99° 46’ 18.87”, 2,568 m | C(w2)(w)b(i)g: temperate, sub-humid with long summer and winter rainfall below 5%, isothermal | Greater than 55 - 1,242 mm | Andosol | Coatepec Harinas, Villa de Allende, Donato Guerra, Tenancingo, Villa Guerrero, Ocuilan, Atlautla, Ecatzingo, Tepetlixpa, Ozumba, Joquicingo, Tenango del Valle, Amanalco, Almoloya de Alquisiras, Texcaltitlán, Temascaltepec, Ixtapan del Oro (upper side) |
| Ixtapan del Oro “El Salto” | 19° 16’ 58.86”, 100° 14’ 59.82”, 1,764 m | (A)C(w”1)(wi)g: temperate/semi-warm, sub-humid, (moderate humidity), intra-summer drought, winter rainfall below 5 %, isothermal | Greater than 55 - 1,300 mm | Cambisol, luvisol, leptosol | Ixtapan del Oro (lower side), Valle de Bravo, Santo Tomás de los Plátanos, Otzoloapan, Zacazonapan, Malinalco |
| Temascaltepec “Rancho La Labor” | 19° 2’ 39.73”, 99° 58’ 51.02”, 2,059 m | A(C)w1(w)(i’)g: semi-warm, sub-humid, (moderate humidity), intra-summer drought, winter rainfall below 5 %, low thermal fluctuation | Greater than 55 - 1,400 mm | Cambisol, luvisol, vertisol | Temascaltepec (lower side), San Simón de Guerrero, Tejupilco, Zacualpan, Amatepec, Luvianos, Sultepec, Ixtapan de la Sal, Zumpahuacán |
A total of 10 Hass avocado trees per plot, 5 to 8 years old and 3 to 5 m in height, were selected and marked from 1 to 10. Each tree was geo-positioned and divided into four sections according to the cardinal points: North, South, East and West. Vegetative growth was measured on one branch per cardinal section of each tree. Each branch was 1 m long, and five 30-cm vegetative shoots of indeterminate lateral growth were selected from it. Twenty-two samples were taken, at biweekly intervals, and each shoot was labeled and its length and diameter (both in cm) were measured.
Floral development was measured in one branch of each tree per cardinal section. Five complete indeterminate inflorescences at anthesis were identified in each branch, and the length of the central axis (cm) was measured, and the number of lateral axes and the number of flowers were determined for each branch. To determine the percentage of intensity, the number of flowers per inflorescence, per branch and per tree was calculated. Similarly, the flowering periods were identified from bract opening and inflorescence emergence until flowering at anthesis, corresponding to stages 7 and 11 on the Salazar-García et al. (1998) scale.
Root growth was determined based on fresh and dry weight (g), by means of sampling in holes with a volume of 64 L in the drip zone (north and south side of each tree). For this procedure, a different tree was selected per sampling every 30 days and per location, for 12 months. Roots were separated from the soil, washed and dried in a forced air circulation oven (ov-484A, GS Blue M Electric, USA) at 110 °C. Afterwards, fresh and dry weights were recorded on an analytical balance (OHAUS®, Switzerland).
The increase in fruit growth was obtained from 10 fruits marked in the middle section of each tree by cardinal orientation (north and south). The equatorial diameter of each fruit was measured every 30 days, and the monthly increment was calculated. Environmental variables per plot were determined using a hygrothermograph (MOBO, USA). Air temperature, soil temperature and relative humidity were used as a reference for the occurrence of phenological events over time. The response variables for each parameter were: shoot length and diameter for vegetative growth; central axis length, number of lateral axes and flowers per inflorescence for flowering; dry and fresh weight for root, and equatorial diameter for fruit.
Flowering variables were analyzed using randomized blocks. Each location represented a block with 10 trees, each tree consisted of four cardinal sections (N, S, E, W) and each section was a treatment with 15 replicates, for a total of 60 replicates per tree. The shoot length, diameter and fruit diameter variables were analyzed using a split-plot design. The largest plot corresponded to the three locations, and the smallest plot to the four cardinal sections. Each plot had 10 blocks with one tree each.
Since the root fresh and dry weight variables were destructive, they were analyzed in a completely randomized design, in which the treatments were the locations and orientation (north and south). Each reading corresponded to one sampling per tree and per location, every 30 days. The information was analyzed with the SPSS Statistics 20 statistical software through analysis of variance. Tukey's mean comparison test (P ≤ 0.05) was applied whenever there were statistical differences.
Production statistics were obtained from SIAP - SAGARPA (2020) and were spatially associated with the municipalities to represent them on a map according to the size of the planted area, from largest to smallest (Figure 1a). The climate (Figure 1b), isotherm (Figure 2a) and soil (Figure 2b) maps were generated from García and Comisión Nacional para el Conocimiento y Uso de la Biodiversidad (CONABIO) (1998a, 1998b), Instituto Nacional de Investigaciones Forestales, Agrícolas y Pecuarias (INIFAP) - CONABIO (1995) and Instituto Nacional de Estadística, Geografía e Informática (INEGI, 2016). The municipal level layer of the study area was carried out using the ArcMap software (ver. 10.2).


Results and discussion
The localities studied have contrasting climates (Figure 1b) and soils (Figure 2b) (García and CONABIO, 1998a). “La Javiela” site (Coatepec Harinas) corresponds to a temperate climate C(w2)(w)b(i)g, which is present in 63.4 % of the total state area dedicated to avocado growing. On the other hand, “El Salto” (Ixtapan del Oro) has a temperate/semi-warm climate (A)C(w’’1)(wi)g (present in 12.85 % of the region) and “Rancho La Labor” (Temascaltepec) has a semi-warm climate A(C)w1(w)(w)(i’)g (present in 12.37 % of the region) (Table 1).
The andosol, cambisol, luvisol and vertisol soils predominate in the localities under study, being distributed in 70, 15, 8 and 5 % of the production zone, respectively (INIFAP-CONABIO, 1995) (Figure 2b). A constraint on the crop in the semi-warm localities (Ixtapan del Oro and Temascaltepec) is the low prevalence of andosols, since the crop requires deep and drained soils (Wolstenholme & Whiley, 1999; Wolstenholme, 2013). However, cambisol, luvisol and vertisol soils predominate in these two localities (Figure 2b), characterized by being compact and thin, and having a clayey texture, tepetate outcrops, electrical conductivity of 0.62 dS·m-1, high saturation of exchangeable cations (such as calcium [80.5 %] and sodium [27.1 mg·kg-1]), high calcium and magnesium contents (4373.7 and 482 mg·kg-1, respectively), and pH greater than 7.1 (Table 2).
Table 2.
| Test | Coatepec Harinas (La Javiela) | Temascaltepec (La Labor) | Ixtapan del Oro (El Salto) | |
|---|---|---|---|---|
| Texture (%) | Porosity | 45.98 | 46.62 | 51.20 |
| Sand | 52.04 | 51.12 | 54.04 | |
| Silt | 34.00 | 32.00 | 26.00 | |
| Clay | 13.96 | 16.88 | 19.96 | |
| Chemical | pH | 5.35 (Ac) | 5.35 (Ac) | 7.11 (Ne) |
| Hydraulic conductivity | 2.30 cm·h-1 (Mo) | 1.81 (Mo) | 3.34 (Mo) | |
| Electrical conductivity | 0.10 dS·m-1 (LS) | 0.10 (LS) | 0.62 (LS) | |
| Organic matter | 6.16 % (M) | 5.94 (M) | 7.02 (M) | |
| CEC | 4.54 cmol·kg-1 (MuB) | 4.26 (MuB) | 27.12 (A) | |
| Macronutrients (mg·kg-1) | Organic nitrogen | 46.2 (M) | 44.6 (M) | 52.7 (M) |
| Phosphorous | 0.8 (MuB) | 0.4 (MuB) | 3.5 (MuB) | |
| Potassium | 375.2 (MoA) | 371.8 (MoA) | 472.9 (MoA) | |
| Calcium | 493.8 (MuB) | 460.7 (MuB) | 4373.7 (A) | |
| Magnesium | 80.6 (B) | 59.7 (B) | 482.0 (MoA) | |
| Sulfur (S-SO4) | 102.2 (M) | 99.9 (M) | 48.6 (MoB) | |
| Micronutrients (mg·kg-1) | Iron | 16.2 (MoB) | 15.3 (MoB) | 615.7 (MuA) |
| Manganese | 1.7 (B) | 1.5 (B) | 9.0 (MoB) | |
| Zinc | 0.1 (MuB) | 0.1 (MuB) | 2.5 (MoB) | |
| Copper | 0.1 (MuB) | 0.1 (MuB) | 1.9 (MoB) | |
| Boron | 0.1 (MuB) | 0.1 (MuB) | 0.5 (B) | |
| Exchangeable cation saturation (%) | Potassium | 21.1 (MuA) | 22.3 (MuA) | 4.5 (MoA) |
| Calcium | 54.3 (MoB) | 54.0 (MoB) | 80.5 (A) | |
| Magnesium | 14.6 (M) | 13.5 (M) | 14.6 (M) | |
| Sodium | 1.6 (B) | 2.4 (MoB) | 0.4 (MuB) | |
| Aluminum | 5.8 (M) | 5.5 (M) | 0.0 (MuB) | |
| Hydrogen | 2.6 | 2.3 | 0.0 | |
| Aluminum | 23.5 mg·kg-1 (B) | 21.0 (B) | 0.0 (MuB) | |
| Sodium | 17.2 mg·kg-1 (MuB) | 23.9 (MuB) | 27.1 (MuB) |
Vegetative development
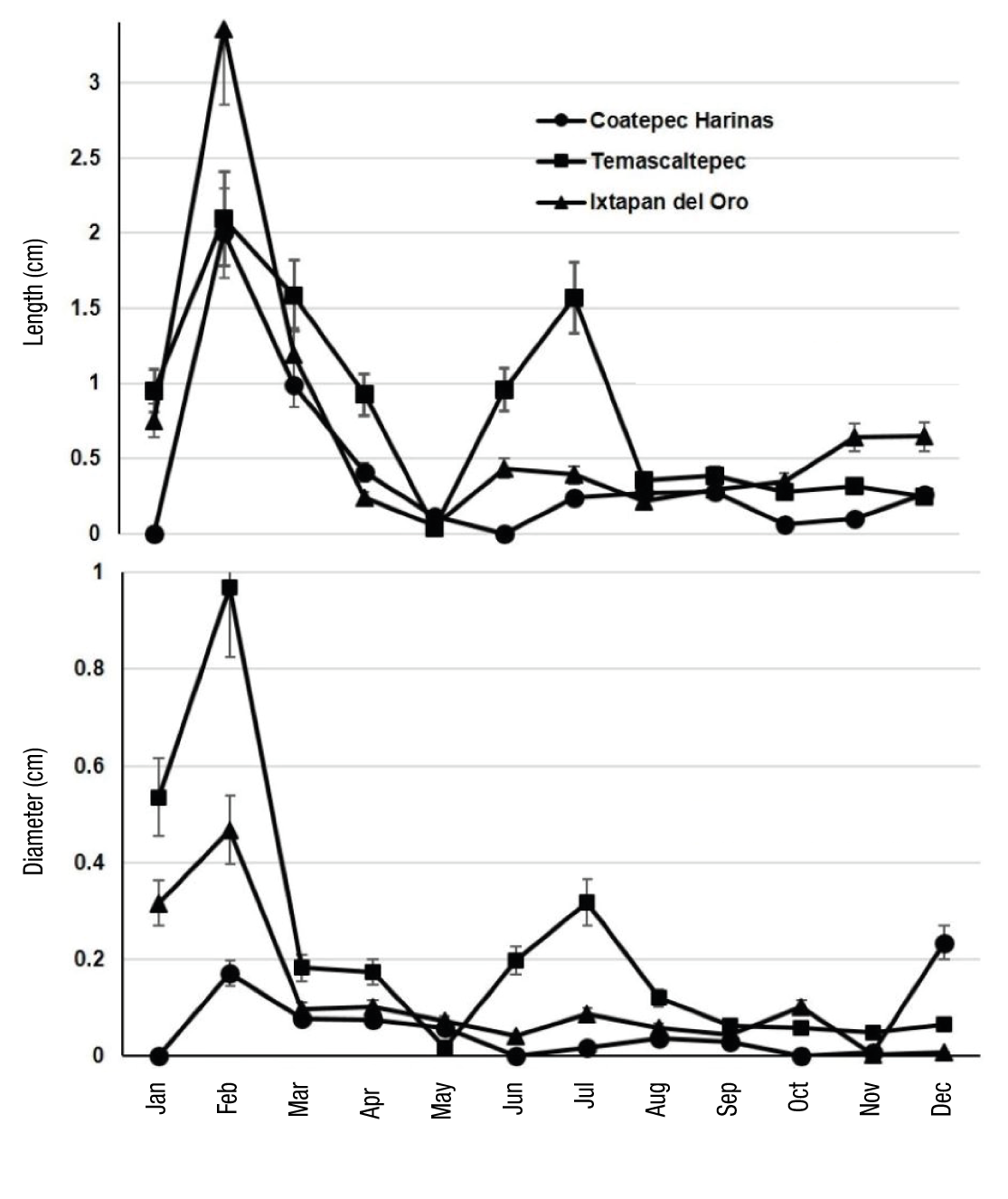
Vegetative development had two outstanding growth periods; the first was vigorous in late winter and early spring (March-April), and the second one was less vigorous during November-December; however, moderate growth occurred during the rainy season from June to November. The highest growth was in Temascaltepec (semi-warm) with a biweekly increase of 0.78 cm in shoot length and 0.23 cm in shoot diameter, followed by Ixtapan del Oro (temperate/semi-warm) with increases of 0.69 and 0.12 cm, respectively, and Coatepec Harinas (temperate) with increases of 0.40 and 0.06 cm, respectively (Figure 3).

When vegetative growth was related to temperature (Figure 4) and relative humidity, it was higher in the semi-warm localities, where annual average conditions prevailed at 21.7 °C and 65.6 % in Temascaltepec, and at 27.7 °C and 63.2 % in Ixtapan del Oro. These localities were more humid, which could favor vegetative growth as compared to the temperate zone (Coatepec Harinas), which presented values of 19.1 °C and 37.1 %; this is despite the fact that the three sites had at least three irrigations: at the beginning, middle and end of the dry season.

Statistically, the vegetative growth during the evaluated year was different among localities and cardinal position (Tables 3 and 4). Growth was stable in Temascaltepec, it was only observed at the beginning of the year in Coatepec Harinas, and it was observed at the beginning and end of the year in Ixtapan del Oro. These differences show constraining aspects of growth in Coatepec Harinas and Ixtapan del Oro, probably due to brusque changes in temperature and humidity during the summer (July to September), as well as to soil type. The isotherms recorded had average values of 14 to 16 °C in the coldest locality (Coatepec Harinas), and of 18 to 22 °C in the semi-warm localities (García & CONABIO, 1998b) (Figure 2a).
Table 3.
| February | March | April | September | October | November | December | |
|---|---|---|---|---|---|---|---|
| Length (cm) | |||||||
| Coatepec Harinas | 9.33 bz | 10.57 a | 11.39 a | ||||
| Temascaltepec | 5.93 a | 7.39 a | 8.43 a | ||||
| Ixtapan del Oro | 7.86 ab | 10.67 a | 11.41 a | ||||
| HSD | 3.08 | 3.48 | 0.8267 | ||||
| Diameter (mm) | |||||||
| Coatepec Harinas | 5.25 b | 5.28 ab | 5.18 ab | 5.18 a | 5.16 a | 5.23 a | 6.32 b |
| Temascaltepec | 4.33 a | 4.84 a | 5.09 a | 5.62 ab | 5.74 ab | 5.82 ab | 5.40 a |
| Ixtapan del Oro | 5.53 b | 5.73 b | 5.99 b | 6.11 b | 6.21 b | 6.31 b | 5.88 ab |
| HSD | 0.3744 | 0.8202 | 0.8267 | 0.7099 | 0.7311 | 0.745 | 0.727 |
Table 4.
| January | March | May | June | August | |
|---|---|---|---|---|---|
| Length (cm) | |||||
| North | 6.95 az | 8.64 a | 10.53 a | 10.93 ab | 11.53 a |
| South | 8.9 b | 10.53 b | 11.91 a | 12.24 ab | 12.57 a |
| East | 7.85 ab | 9.95 ab | 11.77 a | 12.41 b | 12.98 a |
| West | 7.14 a | 9.05 ab | 10.3 a | 10.46 a | 11.13 a |
| HSD | 1.46 | 1.72 | 1.82 | 1.87 | 1.93 |
| February | September | November | December | ||
| Diameter (mm) | |||||
| North | 4.98 a | 5.47 a | 5.71 a | 5.80 ab | |
| South | 5.27 ab | 5.40 a | 5.48 a | 5.53 a | |
| East | 5.32 b | 5.83 a | 6.01 a | 6.06 b | |
| West | 5.20 ab | 5.85 a | 5.95 a | 6.07 b | |
| HSD | 0.314 | 0.516 | 0.535 | 0.527 | |
Based on cardinal direction, vegetative growth occurred approximately 10 days earlier in the southern part, and was delayed in the northern part. This effect is attributed to light and wind variations, in a similar way to what occurred with the flowering lag.
Floral development
The predominant type of inflorescence at the localities was indeterminate, which is characteristic of ‘Hass’ (Schroeder, 1951; Arpaia et al., 1995). A greater number of flowers per inflorescence was generated in the semi-warm climate sites (Temascaltepec and Ixtapan del Oro), as compared to the temperate climate one (Coatepec Harinas) (Table 5). This resulted in fewer but larger fruits for Coatepec Harinas.
Table 5.
| Number of lateral axes | Central axis length (cm) | Number of flowers per inflorescence | Inflorescences per tree | |||||
|---|---|---|---|---|---|---|---|---|
| Coatepec Harinas | 5.7 bz | 5.7 a | 9.3 a | 9.2 a | 64.7 b | 85.8 a | 1061 | 932 |
| Temascaltepec | 6.5 a | 0 c | 5.7 c | 0 c | 118.6 a | 0 b | 2446 | 0 |
| Ixtapan del Oro | 5.7 b | 4.3 b | 7.1 b | 5.8 b | 117.9 a | 86.1 a | 1120 | 1220 |
| South | 6.1 b | 3.8 a | 8.5 a | 5.9 a | 106.3 a | 64.8 a | ||
| West | 5.5 c | 3.5 ab | 6.8 b | 5.2 b | 90.9 b | 60.4 ab | ||
| North | 6.6 a | 3.2 bc | 6.7 b | 4.0 c | 103.7 a | 50.7 b | ||
| East | 5.6 c | 2.9 c | 7.5 b | 5.1 b | 101.0 a | 53.4 b | ||
There was no difference in the flowering time among localities (data not shown), but Temascaltepec, with greater flowering intensity, alternated in the following year (Table 5). Also, floral development occurred 10 days earlier on the sunny (southern) part of the tree, with a greater size and number of flowers per inflorescence as compared to the shaded (northern) part.
The onset of flowering is related to low temperatures (Salazar-García et al., 1998). In the region, when the temperature fell below 19 °C (during the winter [November to March] and the summer [July to October]) (Figure 3), the two flowerings observed in the localities occurred. Salazar-García et al. (1998) reported that inflorescence development is stimulated with temperatures ≤15 °C in temperate climate areas, but a recent study of ‘Hass’ and 'Mendez' avocado, in cold environments in Jalisco, Mexico, indicates that establishing a specific temperature value for stimulating floral development is irrelevant, since it can vary between 8 and 20 °C (Salazar-García, Ibarra-Estrada, Álvarez-Bravo, & González-Valdivia, 2018); for this reason, flowering in the localities under study, even with different temperature conditions (Figure 4), showed no difference in its time of occurrence.
Lahav and Gazit (1994) report that ‘Hass’ trees have difficulty flowering under water stress, but show an ability to flower and fruit set in temperate climates. In the region studied, the temperate locality with lower flowering intensity showed greater fruit set. Temascaltepec and Ixtapan del Oro (semi-warm), with higher mean annual temperatures than Coatepec Harinas (27.75, 21.7 and 19.13 °C, respectively) (Figure 4), had higher flowering intensity based on a greater number of flowers per inflorescence and inflorescences per tree (Table 5), but had lower fruit set. In Michoacán, Mexico, up to four flowerings and continuous vegetative growth were found, this due to a climatic diversity effect (up to six climates: warm, semi-warm and temperate) (Salazar-García, Cossio-Vargas, & González-Durán, 2009) and the prevalence of andosol soils from 0.8 to 3 m in depth, high moisture retention capacity, soil temperature from 13 to 21 °C and environmental temperature from 14 to 24 °C (Rocha-Arroyo et al., 2011).
Floral bud formation
Winter flowering (December to February) was estimated to originate from flower buds formed in the vegetative growth of the previous winter (February to March), over a period of 9 to 10 months. Summer and early autumn flowering (August to October) originated from flower buds formed in the vegetative growth of the previous autumn and early winter (November to December), in an 8 to 10 month period. The above coincides with the findings reported by Salazar-García et al. (1998) and Salazar-García, Ibarra-Estrada, and González-Valdivia (2018), who state that a floral bud forms on a developing vegetative shoot, which when it stops growing enters a resting period (proleptic bud), and whose budding will be stimulated when the environmental temperature decreases. Determining these periods is useful to identify opportune moments for pruning, without affecting floral differentiation and fruit set.
The winter flowering (the most important for ‘Hass’ in the region) was observed to occur on highly vigorous shoots, which increased 2 to 3 cm in length and 0.5 to 1 cm in diameter on a biweekly basis, from January to March (Figure 3). On the other hand, the summer-autumn flowering (with less intensity in ‘Hass’) developed in shoots with less vigor, and had monthly increases of only 1 cm in length and 0.2 cm in diameter. The above suggests that a good strategy is to take care of the development of the winter vegetative shoots, since they will guarantee flowering and fruit set in February and March of the following year. Likewise, the date on which the definition of floral buds occurs in the winter shoots of ‘Hass’ should be considered (irreversible determination of flowering). Some authors report that this occurs earlier in temperate climates than in warm ones; for example, in Michoacán it occurs from June to July (Rocha-Arroyo, Salazar-García, & Bárcenas-Ortega, 2010), and in Nayarit during June in the winter shoots of ‘Méndez’ avocado (Salazar-García, Ibarra-Estrada, Álvarez-Bravo, & González-Valdivia, 2017). According to what was observed in the field, we suggest that in vegetative ‘Hass’ winter shoots in the State of Mexico, it occurs from August to September.
Root development
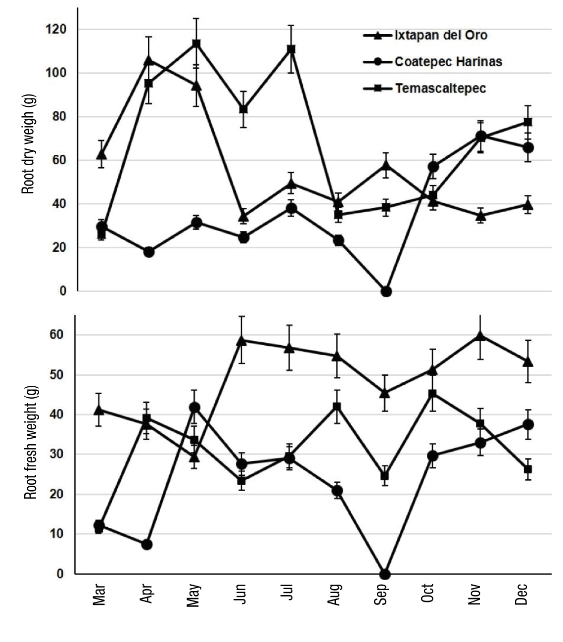
Root growth had two increases over the year: the first one from April to May (at the end of the winter vegetative growth) with a soil temperature of 11 °C, and the second one from October to December with a soil temperature of 9.9 °C (Figure 5). Both increments coincided with the end of flowering: the first one with that of the winter and the second one with that of summer. These results are similar to those reported by Whiley and Wolstenholme (1990) and Arpaia et al. (1995), who suggest that root growth precedes vegetative growth and flowering. The warm environmental temperature from April to May favored root growth in the region. Root fresh weight per locality was highest in Temascaltepec (69.3 g per month), followed by Ixtapan del Oro (56 g) and Coatepec Harinas (36 g), with dry matter accumulation of 31.3, 48.8 and 24 g, respectively (Figure 5). This indicates that the semi-warm and humid conditions favored water accumulation, but the temperate environment, with less humidity, favored dry matter production. This is similar to what was observed by Rocha-Arroyo et al. (2011), who found that root production was higher in non-irrigated orchards in Michoacán.

Root fresh and dry weights were statistically different among localities during April, June, July and December (Table 6). These differences were associated with the variation in temperature and soil type among localities. The andosol soil, predominant in the temperate zone, may have favored moisture retention, which facilitated root dry matter production and fruit development. Root growth was greater during the rainy period (May to November) (Figure 5), when low vegetative and flowering development were observed, but greater root and fruit growth. Notably, greater root development was induced in the shaded part of the tree (north) than in the sunny part (south), in contrast to what occurred with vegetative development and flowering.
Table 6.
| April | June | July | December | |
|---|---|---|---|---|
| Fresh weight (g) | ||||
| Coatepec Harinas | 9.10 bz | 12.25 b | ||
| Temascaltepec | 47.60 a | 41.6 a | ||
| Ixtapan del Oro | 52.95 a | 17.15 ab | ||
| HSD | 30.52 | 25.26 | ||
| Coatepec Harinas | 8.40 b | 8.7 b | 13.2 b | 20.55 ab |
| Temascaltepec | 28.90 a | 31.75 a | 38.9 a | 26.95 a |
| Ixtapan del Oro | 33.10 a | 7.10 b | 10.75 b | 9.25 b |
| HSD | 20.23 | 16.49 | 24.89 | 15.91 |
Fruit development
The time from flower to fruit at harvest maturity was estimated to be 11 to 12 months with no difference among localities. Winter flowering reached harvest from November to February of the following year (360 days), and summer flowering from August to September of the following year (330 days). Fruit growth rate, in the first 170 days after fruit set, was observed as a bell-shaped curve, different from the classic sigmoidal shape (Salysbury & Ross, 1994; Alcaraz et al., 2013), and after 270 days of development, fruit growth rate decreased and remained constant (Figure 6).

Martínez, Martínez, Martínez-Valero, and Martínez (2003) report that at 182 days of development, 91.3 % of total fruit growth is achieved under the conditions in Granada, Spain. In this study, it was estimated that fruits reached 95 % of their final harvest size at 180 days. The greatest fruit growth was observed in the temperate locality (70.1 mm total increase), followed by the temperate-semi-warm (59.4 mm) and semi-warm (56.6 mm) localities (Figure 6). Climate determines the physical and chemical traits of avocado fruit, with temperature being the most influential on fruit size, weight, shape and rugosity, as well as on seed size (Salazar-García, Medina-Carrillo, & Álvarez-Bravo, 2016; Osuna-García, Nolasco-González, Herrera-González, Guzmán-Maldonado, & Álvarez-Bravo, 2017). In the semi-warm locations, it was determined that the prevalence of isotherms from 20 to 28 °C may have been the cause of the reduction in fruit size (Figure 6) and the increase in vegetative development (Figure 5).
The characteristic productive alternation in ‘Hass’ was observed in Temascaltepec (Table 3), and it was related to excessive vegetative growth in that semi-warm locality. This is due to the fact that this phenomenon is influenced by the environment (Álvarez-Bravo, Salazar-García, Ruiz-Corral, & Medina-García, 2017) and affects the vigor, phenology (Arpaia et al., 1995) and fruit development (Wolstenholme, 1981; Whiley & Wolstenholme 1990) by reducing water and mineral transport to the fruit.
Proposed phenological models
Based on the quantification of the variables and the assumption that the biological cycle of a crop is affected by the local environment (Davenport, 1982; Hartmann & Kester, 1995; Chanderbali et al., 2013), three phenological models associated with the region’s climate and soil were integrated. In the temperate climate model, based on the Coatepec Harinas locality, it was observed that a larger fruit size was obtained, although with poorer fruit set (Figure 7), as well as lesser vegetative and root development. This is associated with the lower temperature and humidity in the area (Figure 7a). The soil moisture condition depends on management; however, in Coatepec Harinas it was favored because this locality has greater moisture retention due to the predominance of andosol soil.
In the temperate/semi-warm climate model, based on the Ixtapan del Oro locality, greater root growth and lower vegetative and fruit growth were observed in the warm months. However, as root growth decreased (associated with the decrease in temperature in autumn-winter) vegetative development increased, and vegetative and root growth did not overlap, as documented by Arpaia et al. (1995) and Mickelbart, Robinson, Witney, and Arpaia (2012).
In the semi-warm climate model, based on the Temascaltepec locality (Figure 7c), root growth increased during the spring (low vegetative development season), but in the summer and winter the growth was vigorous, similarly to Ixtapan del Oro, and was related to the productive alternation of the following year (Table 3). The alternation prioritized vegetative development (sylleptic shoots) and interrupted the rhythmic character typical of ‘Hass’ by not generating inflorescences (Thorp et al., 1994; Rocha-Arroyo et al., 2011; Chanderbali et al., 2013).
The vigorous vegetative growth in the semi-warm localities constrained fruit set and fruit size (Figure 7b). Therefore, it is advisable to control it through growth regulators and fertility management of cambisol-luvisol soils, which are distinctive for their low moisture retention and for being clayey and compact. It was also observed that in the semi-warm regions, precipitation was related to excessive vegetative development during the summer, since it was 1,300 to 1,400 mm, and that of the temperate climate was 1,242 mm (Table 1).

Temperature, environmental humidity and soil type explain the differences in the development of ‘Hass’ avocado in the different environments of the State of Mexico, since the cambisol and luvisol soils of the semi-warm climate constrain root development, either in dry or rainy conditions, by predisposing flooding, diseases and root asphyxia. However, temperature and humidity in the semi-warm localities favored vegetative and root growth: air temperature was 21.7 to 27.8 °C, soil temperature was 10 to 13.7 °C, and annual humidity was 63.2 to 65.6 %, whereas in the temperate zone air temperature was 13.7 °C, soil temperature was 7.1 °C, and humidity was 37.1 %.
Conclusion
The differences in development of the phenological stages of 'Hass' avocado in the zones evaluated in the State of Mexico indicate the importance of considering a differential agronomic management for each producing region. This becomes relevant when considering that the increase in the avocado cultivated area in the state of Mexico, in a five-year period, has been greater than 100 %. Similarly, the differences in climatic and soil environments constitute the basis for subsequent studies to predict the behavior of the crop.
