Introduction
The olive (Olea europaea L.) is a preferentially allogamous crop that responds positively to cross-pollination, leading to an increase in fruit set (Cuevas & Polito, 1997; Lavee & Datt, 1978; Sibbett, Freeman, Ferguson, & Polito, 1992). The system that dominates self-incompatibility relationships in olive is complex (Franklin-Tong & Franklin, 2003; Seifi, Guerin, Kaiser, & Sedgley, 2011), making its study of great importance because of its significance in flower fertilization and fruit set, and therefore in pollination designs (selection, number and location of pollinizers) in the plots.
Some authors contend that the olive has a sporophytic self-incompatibility (Breton, Farinnelli, & Shafiq, 2014; Collani et al., 2012), while others contend it has a gametophytic-type self-incompatibility (Ateyyeh, Stosser, & Qrunfleh, 2000; Cuevas & Polito, 1997; Serrano & Olmedilla, 2012). The latter is characterized, although with exceptions, by the inhibition of pollen tube growth in the style, which prevents (or hinders) self-fertilization (de Nettancourt, 1977).
Different methods have been developed to study the self-compatibility level of cultivated and wild plants. One of the most accepted methods is the analysis under fluorescence microscopy of the processes that lead to fruit set (Heslop-Harrison & Heslop-Harrison, 1970), in which pollen adhesion and germination levels on the stigma, pollen tube growth through the style and fertilization levels are analyzed (Vuletin-Selak, Cuevas, Goreta-Ban, & Perica, 2018). These analyses make it possible to identify the self-incompatibility reaction in a clear manner when comparing samples of flowers subjected to self-pollinating treatments against free- or cross-pollination, with pollen from other previously selected cultivars. Given the existing controversy in this respect and the importance of the olive’s self-incompatible response, the aim of this study was to determine the degree of self-incompatibility and identify the obstacles to self-fertilization in 'Manzanillo'.
Materials and methods
Plant material and orchard location
The experiment was carried out in a multivarietal orchard with different olive tree varieties (ʽPicualʼ, ʻManzanillo’, ʻSevillano’, ʽArbequinaʼ, ʽFrantoioʼ, ʽBlanqueta’ and ʽHojiblancaʼ), located at the Cajamar Experimental Station, Las Palmerillas, El Ejido, Almería, Spain (36° 50ʼ NL, 2° 24ʼ WL and at 84 masl). For the experiments, four 18-year-old adult trees of the ʻManzanilloʼ cultivar, open vase trained and with 6 x 8 m spacing, were used. Orchard management included drip irrigation and soil maintenance through no tillage and chemical and physical weed removal.
Experimental design and treatments
The experimental design was completely randomized with four pollination treatments as a source of variation, which were: self-pollination (SP), free-pollination (FP), and cross-pollination using pollen from ʽSevillanoʼ (XS) and ʻPicualʼ (XP).
SP was achieved by covering the fruiting branches prior to anthesis with silk paper bags. The deposition of self-pollen onto the stigmas was favored by continuously shaking the branches. On the other hand, the branches subjected to FP were left uncovered, receiving, without restriction, pollen dispersed by the wind from nearby trees: ʽPicualʼ, ʻSevillano’, ʽArbequinaʼ, ʽFrantoioʼ, ʻBlanqueta’ and ʻHojiblanca’ (distances to them between 8 and 30 m). For the cross-pollination treatments, fresh pollen was applied manually with a fine brush to the stigmas of the open flowers. In all cases, pollination was carried out at the beginning of flowering and repeated every two days on two more occasions.
The pollen used for cross-pollination was previously collected from ʻSevillanoʼ (XS) and ʻPicualʼ (XP) trees in the same orchard, following the procedure described by Cuevas and Polito (2004). The viability of the pollen was determined before its use by means of the fluorochromatic staining test proposed by Heslop-Harrison and Heslop-Harrison (1970) and slightly modified by Pinillos and Cuevas (2008). Pollen viability was 87.1 and 86.7 % for 'Sevillano' and 'Picual', respectively. Cross-pollinated flowers remained bagged before and after each manual pollination.
Pollen-pistil interaction
Pollen-pistil interaction was evaluated in 20 flowers from each treatment at 3, 6 and 9 days after pollination (dap) (60 flowers in total per treatment). Pollination was carried out on the day of anthesis, which was assured by eliminating the open flowers on a given day and the closed flowers on the following day, so that all the remaining flowers opened between a given day and the following day. Treatments were applied as explained above.
The collected flowers were fixed with FAE (formalin, glacial acetic acid and 70 % ethanol, at a 1:2:17 v/v ratio) until observation. The fixed flowers were processed according to the procedure described by Cuevas, Rallo, and Rapoport (1994). The staining was done with aniline blue and immediately afterwards the observations were made under fluorescence microscopy as proposed by Martin (1958) using an epifluorescence microscope (Nikon Labophot, Tokyo, Japan). In each flower sampled, pollen adherence to stigma, pollen germination, pollen tube growth and fertilization levels were quantified. The results of the 20 flowers were averaged for each treatment and pollination date.
The number of pollen grains adhered to flower stigmas was estimated by counting the number of pollen grains in three small areas of the stigma, and then calculated at flower level taking into account the average size of the 'Manzanillo’ stigma reported by Griggs, Hartmann, Bradley, Iwakiri, and Whisler (1975). Pollen germination was expressed as a percentage, as the relationship between adhered and germinated pollen grains. A pollen grain was considered germinated when it presented a pollen tube of at least a length equal to the diameter of the pollen. The growth of the pollen tube in the style of each flower was evaluated taking into account the following ranges: null (no pollen tubes were observed), scarce (fewer than five pollen tubes), moderate (5 to 25 pollen tubes) or massive (more than 25 pollen tubes), and expressed as a percentage of flowers found for each range of pollen tubes. Finally, a flower was considered fertilized when there was a pollen tube in the micropyle or an ovule had become a developing seed, a condition proven by the size of the ovule (more than three times its initial size), and the other three ovules became senescent (Cuevas et al., 1994; Seifi et al., 2011).
Adhesion and germination values were analyzed using one-way analysis of variance (ANOVA) in a completely randomized design and Tukey’s multiple comparison test (P ≤ 0.05). Percentage data were subjected to angular transformation prior to analysis. Fertilization results were analyzed using the chi-square test (P ≤ 0.05). The Infostat version 2017e program (University of Córdoba, Córdoba, Argentina) was used for the analyses.
Results and discussion
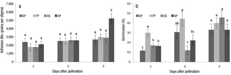
Analysis of the pollen-pistil interaction showed no differences among treatments in the adhesion of pollen grains (P > 0.05). There was a slight increase in the number of grains adhered to the oldest flowers, indicating that the receptivity of the stigma was maintained until 9 dap. FP and XS treatments showed about 1,900 pollen grains per flower, while XP and SP had about 2,000 and 2,200 pollen grains per flower, respectively, at 3 dap. At 6 dap, the differences were small and not significant (2,700 pollen grains per flower for SP and FP, and 2,800 pollen grains per flower for XS and XP). The oldest flowers (9 dap) showed the highest number of pollen grains, reaching 3,000 grains in all treatments, with the exception of XP which averaged 5,500 pollen grains in the stigma (Figure 1a).

The percentage of pollen grains germinated at 3 dap was 11.7 % in SP flowers, 29.9 % under FP, and 17.1 % in XS and XP. A notable increase in pollen germination was observed at 6 dap for SP, FP and XP, reaching values of 30.6, 44.3 and 22.1 %, respectively. The lowest germination level was observed in the XS treatment at 6 dap, which showed an anomalous decrease in the values (Figure 1b), reversed at 9 dap. At this last date, there were no significant differences among treatments (P > 0.05) (Figure 1b).
The dynamics of pollen tube growth in the style varied greatly depending on the pollination treatment. In this sense, a higher percentage of flowers with more pollen tubes were observed in flowers subjected to FP, XS and XP treatments. The percentage of flowers showing more pollen tubes in the style was much higher in FP and cross-pollination (both XS and XP) conditions than with SP. These differences were especially noticeable at 6 and 9 dap. With the FP treatment, not only was a larger number of flowers with growing pollen tubes observed, but it was also common to see a larger number of pollen tubes per flower. The latter was also observed in cross-pollination (XS and XP), a situation that rarely occurred with SP, where most of the flowers did not show any pollen tubes in the style due to their early arrest in the stigma (Figures 2a and 2b). As expected, the number of pollen tubes observed in the transmission tissue of the style was higher in the oldest flowers (Table 1), as a consequence of the progressive growth of pollen tubes. This effect was more accentuated in the FP and XP treatments, indicating the absence of pollen rejection and the growth of the pollen tube without obstacles in these treatments.

Table 1.
| Pollination treatment | dap1 | Number of pollen tubes grown in the style | |||
|---|---|---|---|---|---|
| 0 | 1-5 | 5-25 | > 25 | ||
| Percentage of flowers | |||||
| SP | 3 | 100 | 0 | 0 | 0 |
| 6 | 75 | 25 | 0 | 0 | |
| 9 | 65 | 35 | 0 | 0 | |
| FP | 3 | 100 | 0 | 0 | 0 |
| 6 | 45 | 50 | 5 | 0 | |
| 9 | 0 | 30 | 60 | 10 | |
| XS | 3 | 95 | 5 | 0 | 0 |
| 6 | 85 | 15 | 0 | 0 | |
| 9 | 45 | 65 | 0 | 0 | |
| XP | 3 | 95 | 5 | 0 | 0 |
| 6 | 60 | 30 | 10 | 0 | |
| 9 | 25 | 75 | 0 | 0 | |
Due to the different growth of the pollen tube among pollination treatments, fertilization levels were higher in FP, XS (Figure 3) and XP than in SP, especially at 9 dap. With FP, more than half (65 %) of the flowers sampled were fertilized at 9 dap, while the percentages were lower with XS and XP, with values of 20 and 15 %, respectively. On the other hand, fertilization levels were even lower (5 % of flowers) under SP in the same sampling period (Table 2). A chi-square test indicates that at 9 dap the contingency table shows significant differences from the expected pattern, indicating that the pollination treatments produced different fertilization levels. The results were not significantly different on the previous dates, although the percentages of fertilized flowers were again higher under FP (Table 2).

Table 2.
| Days after pollination | Test value ( |
Pollination treatments | |||
|---|---|---|---|---|---|
| SP | FP | XS | XP | ||
| Number of fertilized flowers | |||||
| 3 | ------ | 0 | 0 | 0 | 0 |
| 6 |
|
1 | 3 | 1 | 1 |
| 9 |
|
1 | 13 | 4 | 3 |
Results confirm that ʻManzanillo’ is a highly self-incompatible olive genotype, since the SP treatment resulted in very low and significantly (P ≤ 0.05) lower levels of fertilization than FP. The self-incompatible response in 'Manzanillo' was characterized, above all, by poor growth of the pollen tubes in the style of SP flowers, as well as lower levels of pollen germination at 3 dap, as reported by Vuletin-Selak, Cuevas, Goreta-Ban, and Perica (2014).
Different authors have pointed out that the self-incompatible reaction in olive is characterized by the low capacity of the pollen tubes to penetrate beyond the first layers of the stigma cells, which could be measured as a lower pollen germination, as well as their inability to grow in the style (Bradley & Griggs, 1963; Cuevas & Polito, 1997). This agrees with what was found in this work. This rejection of ‘self’ pollen leads to a severe reduction in the percentage of fertilized flowers under SP (Shemer et al., 2014; Vuletin-Selak, Perica, Goreta-Ban, & Poljak, 2014). The analyses of pollen-pistil interaction in this work confirm the self-incompatible response of ʻManzanilloʼ and highlight the failure of ‘self’ pollen to achieve acceptable fertilization levels that allow sufficient productivity in monovarietal plots.
Pollen adhesion and germination in the stigma did not show a clear response, although there were slight improvement trends under FP, XS and XP treatments, and in the oldest flowers. This evolution confirms prolonged stigma receptivity in olive (Vuletin-Selak et al., 2014b). FP in the experimental plot, given its multivarietal orchard condition, reached the highest fertilization levels, above the levels found under cross-pollination (XB and XS).
Conclusions
'Manzanillo’ is a highly self-incompatible cultivar that needs cross-pollination to achieve satisfactory flower fertilization levels. The results obtained in the analysis of pollen-pistil interaction indicate that reduced pollen tube growth, and therefore low fertilization levels, compromise fruit set and productivity levels in strictly monovarietal plots. This response suggests gametophytic self-incompatibility in ʻManzanilloʼ. Free-pollination in a multivarietal orchard improves fertilization levels. ʻSevillanoʼ and ʻPicualʼ appear as potential pollinators of ʻManzanilloʼ in Spain, although their fertilization levels were below those obtained under free-pollination.
