Introduction
Mexican avocado is of great importance for the international market as evidenced by the fact that exports are increasing each year. For the period 2013-2014, 557.719 t from a total production of 1’467,837 t were exported (Flores, 2014); however, exporting involves a number of postharvest problems because the fruit has a limited shelf life. Therefore, it is necessary to extend the storage period for exports by using techniques such as chilling, but never below 0 °C, taking into account storage conditions that do not cause chilling injury and that also preserve its qualities as fresh fruit for prolonged periods (Osuna-García & Beltrán, 2003; Solís-Fraire et al., 1998).
In particular, fruits of tropical or subtropical origin suffer chilling injury even at temperatures well above the freezing point (Cerdas-Araya, Montero-Calderón, & Díaz-Cordero, 2006; Hofman, Vuthapanich, Whiley, Klieber, & Simos, 2002; Lyons, Raison, & Graham, 1979; McKersie & Leshem, 1994). Currently, chilling is the main method used for the preservation and transport of fresh fruit and vegetables (Kader, 2002). In avocado the main constraint on using chilling is the appearance of chilling injury (Cerdas-Araya et al., 2006; Hofman et al., 2002; López-López & Cajuste-Bontemps, 1999; Pesis, Ampunpong, Shusiri, & Hewett, 1994; Salveit & Morris, 1990).
The most widely accepted hypothesis to explain chilling injury was developed by Ferguson, Volz, and Woolf (1999), Lyons (1973) and Whiley (1990), who suggest the existence of irreversible changes in the physical properties of the membrane as a primary response to low temperature; this change occurs at a characteristic temperature for each species or plant tissue defined. Consequently, physiological, metabolic and biochemical dysfunction occurs causing changes in the activities of membrane-associated enzymes and membrane permeability, reduced ATP levels and ion output, loss of compartmentalization and lack of metabolic balance (Parkin, Marangoni, Jackman, Yada, & Stanley, 1989). For their part, Penter, Snijder, Stassen, and Schafer (2000), Raison and Orr (1990) and Thompson (2010) mentioned that other primary events that cause chilling injury are: increased calcium in the cytosol, a decrease in the rate of cyclosis, changes in the cytoskeletal structure and conformational change in some key regulatory proteins (enzymes).
It has been stated that the effects of chilling injury in avocado fruits are at membrane level as a result of prolonged exposure to chilling temperature. This may cause physico-chemical changes in membranes resulting in decompartmentalization and leading to enzyme-substrate (polyphenol oxidase-phenols) contact, which promote darkening reactions (Espinosa-Cruz, Valle-Guadarrama, Ybarra-Moncada, & Martínez-Damián, 2014; Marques, Fleuriet, & Macheix, 1995; Whiley, 1990), with the main symptom in avocado fruits being the black spot on the skin and pulp (Espinosa-Cruz et al., 2014; McCollumn & McDonald, 1991; Penter et al., 2000).
It has been found that maintaining adequate calcium levels in the fruit influences the transfer of extracellular signals within intracellular biochemical reactions; this helps to maintain the integrity of the membrane and the structure and function of the cell wall (Ferguson, 1984; Ferguson, Volz, Harker, Watkins, & Brookfield, 1995; Penter et al., 2000; Thompson, 2010; Whiley, 1990). Calcium concentrations in the fluid-free spaces may slow fruit ripening causing localized deficiencies, resulting in a lower respiration rate, ethylene production and softening rate of the fruits. Penter et al. (2000), Swarts (1984), Thompson (2010) and Whiley (1990) report that the deficiency of this element causes postharvest disorders in avocado; however, it has been found that an adequate calcium level helps maintain separation between the polyphenol oxidase enzyme and the phenolic substrate located in the vacuole of the avocado mesocarp (Bower & Cutting, 1988; Hofman et al., 2002).
There are some methods to increase calcium levels in both preharvest and postharvest; therefore, the aim of this research was to evaluate the effect of preharvest Ca(NO3)2 sprayings on postharvest physiology of ‘Hass’ avocado fruits stored at 5 °C and room temperature.
Materials and methods
Hass avocado fruits harvested from an orchard located in Coatepec Harinas, State of Mexico, owned by the Fundación Salvador Sánchez Colín-CICTAMEX, S.C., were used in this experiment. The orchard is located between coordinates 99° 46’ 38” WL and 18° 46’ 38” NL, at 2,240 masl. The climate is C(w)w, temperate subhumid with summer rains, and a mean annual temperature and rainfall of 16 °C and 1,100 mm respectively (Instituto Nacional de Estadística y Geografía [INEGI], 2009; Solís-Fraire et al., 1998).
Foliar sprayings of calcium nitrate at 0, 0.3 and 0.5 % (w:v), with Atlox (0.5 mL∙L-1) added to them as adherent, were applied to six 5-year-old trees per treatment, each tree being an experimental unit. Treatments were applied to drip point with a high-pressure sprayer, using 5 L per tree. A completely randomized design was used in the field, with the experimental unit being a tree. Spraying began on May 4, 2001, when the fruit measured from 2 to 3 cm; spraying was subsequently performed every six weeks until December (six applications).
On February 22, 2002, the fruits were harvested and then transferred to the laboratory. The fruits collected from the six trees per treatment were grouped together and stored at room temperature (22 °C) and 65 % relative humidity, and at 5 °C and 85 % RH, for five weeks. Fruits stored at room temperature were evaluated for 10 days in some variables and in others at 0, 3, 6 and 9 days. In the case of the fruits subjected to chilling (5 °C), evaluations were conducted at three and five weeks. After each preservation period the fruits were exposed to room temperature (22 °C) to evaluate the ripening process at 0, 2 and 4 days.
Ethylene and CO2 were quantified by gas chromatography using the static method. Three fruits per replicate were placed in an airtight container of known volume for an hour; subsequently 7 mL of headspace were taken with a hypodermic syringe and placed in a 7-mL vacuntainer (vacuum); as the control, vacutainers without a sample were used. Then 1 mL of vacuntainer space was taken and injected into a Hewlett Packard 5890 Series II gas chromatograph, equipped with a PLOT fused-silica packed column with a PoraPLOT Q stationary phase (27.5 cm in length, 0.32 mm in internal diameter, 0.45 mm in external diameter and 10 µm in particle thickness), fitted with a flame ionization detector (FID) and a thermal conductivity one. The temperature of the oven, injector and detector was 80, 150 and 150 °C, respectively. As reference pattern, 10 mg∙L-1 ethylene (INFRA) and 500 mg∙L-1 CO2 (INFRA) were injected. The carrier gas in the chromatograph was helium with a flow of 32.3 mL∙min-1. The concentration of each component was expressed in mg∙L-1.
For calcium determination, exocarp and mesocarp were taken from the middle part of the fruit. The samples were dried in a forced-air oven for 72 h at 70 °C, then ground. Next, 0.5 g of dry sample were placed in a 30-mL micro Kjeldahl flask to which 10 mL of absolute nitric acid, 2 mL of absolute perchloric acid and 1 mL of absolute sulfuric acid were added, after which digestion was performed for 5 h at 450 °C. Ten mL of distilled water were added to the sample obtained from the digestion; it was filtered and filled to 50 mL. The extract obtained was placed in jars, from which 1 mL was taken, to which 1 mL of lanthanum oxide plus 8 mL of distilled water were added (Chapman & Pratt, 1979). The calcium evaluation was carried out by atomic absorption spectrophotometry on a Varian SpectrAA 220 FS spectrophotometer, using a Westinghouse WL 22610A hollow cathode tube lamp. The equipment operated at 1,500 °C (flame), and an air-acetylene mixture was used for combustion. The result was expressed as a percentage.
Firmness was evaluated in the equatorial part, for which part of the fruit skin was removed, with a Compact Gauge (Cole Palmer) digital penetrometer mounted on a hand press, recording the maximum force exerted in Newtons (N), which was reached during penetration of the strut in the fruit. The daily cumulative weight loss percentage was determined by the difference between the initial and final weight during the time of the experiment.
Polyphenol oxidase (PPO) activity was determined using the method described by Lamikanra (1995) from a 1-g sample frozen at -80 °C, which was triturated in a frozen mortar, to which 5 mL of 100 mM Tris-HCl buffer at pH 7.1 with 1 % (w:v) polyvinyl pyrrolidone (PVP) were added. The extract was filtered in cheesecloth and then centrifuged at 10,000 x g for 10 minutes. The supernatant was used to determine PPO activity. The reaction consisted of dissolving 1 mL of 60 mM catechol in 100 mM Tris-HCl buffer at pH 7.1 plus 10 µL of the supernatant. The absorbance change in 1 minute was determined in a Perkin Elmer LAMBDA 2 UV-VIS spectrophotometer. A unit of PPO activity was expressed as a one-unit change in absorbance per minute at 420 nm.
Chilling injury was determined using the method described by Chaplin, Wills and Graham (1982). From a representative portion of the mesocarp pulp, a paste was formed using a mortar; then 1 g of the paste was taken and placed in a test tube, to which 2 mL of absolute methanol, 2 mL of distilled water and 1.72 mL of chloroform were added. The mixture was homogenized and centrifuged at 10,000 x g for 20 minutes. The upper layer (organic phase) contained the oxidized phenolic compounds. Color changes during the organic phase were evaluated by measuring absorbance at 340 nm.
The analysis of the variables was performed by means of an analysis of variance using a completely randomized experimental design with Tukey’s range test (P ≤ 0.05), per evaluation day and among treatments, where the analysis of the fruits subjected to chilling and the environment were separated.
Results and discussion
Ethylene production
Both the control fruits and those treated with calcium stored at 20 °C had an increase in ethylene production (Figure 1A), peaking on the sixth day of evaluation, with the control having the highest production (295.59 µL∙kg-1∙h-1). This could be because calcium is an ion involved in various physiological processes in fruits; it maintains membrane structure, delays senescence, maintains cell compartmentalization, inhibits respiration and regulates ethylene production (Cline & Hanson, 1992; Ferguson et al., 1995; Hofman et al., 2002; Saucedo-Hernández, Martínez-Damián, Colinas-León, Barrientos-Priego, & Aguilar-Melchor, 2005).
In the fruits stored for three weeks, only on the second day of exposure to room temperature did those which received 0.3 and 0.5 % calcium nitrate sprayings show a lower value than the control (Figure 1B). In this regard, Tingwa and Young (1974) and Saucedo-Hernández et al. (2005) indicated that calcium suppresses ethylene production in avocado fruits.
In the case of fruits stored under chilling conditions for five weeks, the three treatments showed maximum ethylene production three days after being transferred to room temperature. However, the treatment with 0.5 % calcium nitrate had the lowest value (Figure 1C), and the application of 0.3 % calcium showed no significant difference relative to the control.

Poovaiah (1993) and Saucedo-Hernández et al. (2005) state that CO2 and ethylene production is lower in fruits which have been treated with calcium, which decreases fruit softening and improves fruit quality. Fruits stored under chilling conditions showed maximum ethylene production three days before fruits stored at room temperature. This can be explained by the fact that low temperatures cause stress that prevents the formation of ethylene, but not ACC (1-aminocyclopropane-1-carboxylic acid); therefore, once the product is removed from chilling conditions, the ethylene forms faster (Saucedo-Hernández et al., 2005; Wang, 1982).
Respiration
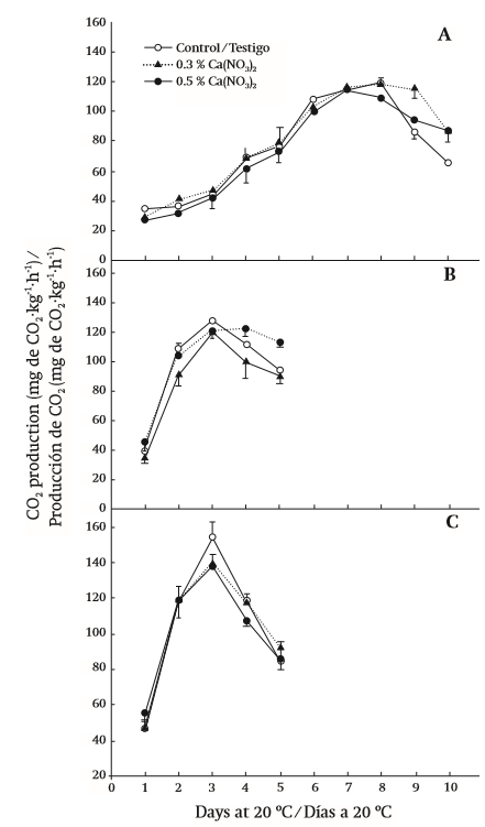
Control fruits stored at room temperature had peak CO2 production on the seventh day of evaluation, showing values of 118.66 mg of CO2∙kg-1∙h-1. The treatments with 0.3 % calcium obtained maximum production on day eight with 117.74 mg of CO2∙kg-1∙h-1, and those treated with 0.5 % had their peak value on day seven with 114.48 mg of CO2∙kg-1∙h-1 (Figura 2A). These values were lower than those obtained by López-López and Cajuste-Bontemps (1999), who when ripening Hass avocado fruits, previously stored at 5 °C for 28 days, recorded 158 mg of CO2∙kg-1∙h-1 as the climacteric maximum value.
For their part, control fruits and those treated with 0.3 % calcium nitrate stored for three weeks at 5 °C had an increase in CO2 production, peaking three days after being transferred to 20 °C, whereas treatments with 0.5 % calcium nitrate reached their maximum four days after being transferred to room temperature (Figure 2 B). It is well known that calcium delays ripening and decreases fruit respiration and ethylene emission, slightly delaying the climacteric rise and lowering the climacteric maximum (Marcelle et al., 1989; Saucedo-Hernández et al., 2005). In addition to the above, calcium delays senescence by decreasing lipoxygenase activity, ACC content and ethylene emission (Marcelle, 1991; Saucedo-Hernández et al., 2005).
Control treatments also showed greater chilling injury, which may be associated with increased CO2 production, as Cerdas-Araya et al. (2006), López-López and Cajuste-Bontemps (1999), Saucedo-Hernández et al. (2005) and Wang (1982) indicate that increased respiration in fruits such as bananas, citruses and avocado is associated with chilling injury, given by an irreversible alteration in metabolic processes.
Results from ‘Hass’ avocado fruits stored for five weeks under chilling conditions (5 °C) show that the three treatments had peak respiration three days after being transferred to 20 °C, with the control showing the highest CO2 production (Figure 2C), again observing a favorable effect resulting from calcium application. However, the CO2 levels reached at 5 °C have greater production compared to those stored at room temperature. In this regard, several researchers have documented anomalous respiration during or after exposure to chilling of cold-sensitive plants, where respiration initially increases when exposed to low temperature and thereafter decreases. The sharp increase in respiration that occurs once the product is transferred to higher temperatures (>15 °C) is not necessarily permanent, as the respiration level can return to its normal level or remain high; the above is subject to the exposure time at a critical or lower temperature (Lyons, 1973; Lyons & Breindenbach, 1987; Makino, Oshita, Kawagoe, & Tanaka, 2008; Monroy-Gutiérrez, Valle-Guadarrama, Espinosa-Solares, Martínez-Damián, & Pérez-López, 2013; Valle-Guadarrama et al., 2013).

Calcium content
The analysis of variance detected significant differences in the calcium content of the fruit exocarp, with the 0.5 % treatment having the highest concentration (0.085 % based on dry weight). López, Tirado, and Aguilar (1991) found contents between 0.189 and 0.227 % by spraying 0.5 % calcium nitrate 45 days before harvest; these levels are very high compared with those found in the present study (Figure 3). This difference may be because calcium is a low-mobility nutrient in plant tissues (Herrera-Basurto et al., 2007; Hofman et al., 2002; Saucedo-Hernández et al., 2005; Swarts, 1984); it is thus possible that applying it earlier increased its penetration in the leaves and subsequent translocation to the fruit, as can be seen later in the results.

Regarding the Ca concentration in the mesocarp, the analysis of variance detected significant differences, with the 0.3 and 0.5 % treatments (0.081 and 0.084 % calcium) being superior to the control (0.078 % calcium). These values are higher than those found by Solís-Fraire et al. (1998), who obtained from 0.019 to 0.036 % without presenting differences among 1, 2 and 3 % calcium nitrate treatments. However, López et al. (1991) found concentrations between 0.166 and 0.210 %, data similar to those reported by Witney (1985), which are high compared with those found in this study.
Firmness
When analyzing the firmness data by evaluation date in ‘Hass’ fruits stored at room temperature (Figure 4), differences among treatments were only found on the sixth day of evaluation, where the treatments with calcium had higher firmness compared to the control. Although it has been reported that preharvest calcium applications result in obtaining less damage in stored fruits, by preserving their external appearance and increasing fruit firmness (Cline & Hanson, 1992; Espinosa-Cruz et al., 2014; Saucedo-Hernández et al., 2005), no predominant effect on fruit firmness was found in the present study.
As for the fruits stored for three and five weeks at 5 °C, significant differences were found in fruit firmness on the fourth day of evaluation, with the 0.5 % calcium nitrate treatment having the most influence compared to the control (Figure 4), for these days. However, in the days prior to the evaluation there is no effect due to spraying. It has been pointed out that calcium affects ripening and firmness in avocado fruits and apple; this is because it reduces the main changes associated with the softening process, these being the loss of cell walls and the cohesion between cells, when forming part of the pectins of the middle lamella (Witney, 1985). However, this variable effect is inconspicuous.

Weight loss
No differences among treatments were observed in fruits at room temperature. In fruits stored for three and five weeks under hilling conditions, and placed at 20 °C on day zero of the evaluation, the treatment with the least weight loss compared to the control was the one with 0.5 % calcium nitrate (Table 1). However, at later dates no differences among treatments, where the control had the highest weight loss, 11.8 %, were found. Weight loss increased as the evaluation dates passed by, since water loss in fruits increases with time, representing a decrease in commercial weight and therefore a reduction in its value (Espinosa-Cruz et al., 2014; Saucedo-Hernández et al., 2005; Wills, McGlasson, Graham, & Joyce, 1984).
Table 1..

Polyphenol oxidase (PPO) activity
The main importance of oxidative enzymes is their action, which leads to economic losses in fresh fruits and vegetables because it causes darkening and loss of smell and nutritional quality (Espinosa-Cruz et al., 2014; Marques et al., 1995; Walker, 1995; Whiley, 1990). The darkening is caused by contact between the phenolic compounds found in different parts of the cell and oxidative enzymes localized in the cytoplasm (Hofman et al., 2002; Marques et al., 1995). The results of PPO activity of fruits stored at room temperature showed significant differences among treatments only on day six, with the 0.5 % calcium treatment having the lowest PPO activity compared to the control (Table 2). The preharvest calcium sprayings increased the calcium percentage in the avocado pulp, decreasing PPO activity relative to the control; however, this only differs statistically on day six, so it is advisable to increase the concentrations applied to see if a more noticeable effect can be achieved.
Table 2..

In fruits stored under chilling conditions for three weeks, the analysis of variance detected statistical differences among treatments on the fourth day of evaluation, with the 0.3 and 0.5 % treatments having the lowest PPO activity, respectively (Table 3). In fruits stored under chilling for five weeks, no significant differences among treatments were detected. Samples with calcium had lower PPO activity levels because calcium reduces the oxidation and content of various phenolic compounds, which clearly delays fruit darkening. The role of calcium in maintaining good quality in avocado fruits, particularly after a chilling period, is reportedly because it maintains a separation between the polyphenol oxidase enzyme and the phenolic substrate located in the vacuole (Bower & Cutting, 1988; Saucedo-Hernández et al., 2005).
Table 3..

It was expected that fruits treated with six calcium nitrate sprayings and stored for five weeks would have higher PPO activity, as a result of longer exposure to low temperatures, but this was not the case. In this regard, there are different factors that can cause fruit darkening such as: physiological development related to ripening, some disorders that can occur during storage and various technological processes (Espinosa-Cruz et al., 2014; Hofman et al., 2002; Marques et al. 1995; Penter et al., 2000; Thompson, 2010; Whiley, 1990). However, in this experiment the temperature used during chilling preservation of avocado and the exposure time did not result in physicochemical membrane changes that may cause decompartmentalization and lead to enzyme-substrate (polyphenol oxidase-phenols) contact; this is probably because control fruits did not have calcium deficiency or the concentrations used were insufficient.
Chilling injury
This test was only able to detect, statistically, chilling injury on the fourth day of evaluation in fruits stored for three weeks at 5 °C; this was not the case at day two, with the 0.3 and 0.5 % calcium nitrate applications being the best treatments, showing lower absorbance levels (Table 4). In fruits stored under chilling for five weeks, on the fourth day of evaluation the best treatment was the 0.5 % spraying (Table 4). This increased absorbance as the days passed by was also observed by Espinosa-Cruz et al. (2014), Martínez-Damián (1990) and Saucedo-Hernández et al. (2005), and it appears to be related to softening, since in firm fruits chilling injuries are not detected with this technique, not until they are soft.
Table 4..

Some of the key events associated with chilling injury in fruits are: loss of membrane integrity, caused by lipid phase change, solute leakage and loss of intracellular compartmentalization. This was observed in fruits chilled and without calcium treatment; however, a higher level of chilling injury occurred in fruits that were not sprayed with calcium (Espinosa-Cruz et al., 2014; Saucedo-Hernández et al., 2005; Wang, 1982).
Conclusions
Applications of calcium nitrate, at 0.3 and 0.5 %, in Hass avocado fruits decreased the respiratory pattern and ethylene production at room temperature and 5 °C; the treatments increased the calcium concentration in both the exocarp and the mesocarp. Moreover, the calcium decreased weight loss, polyphenol oxidase activity and the presence of chilling injury.
