Introduction
Aguamiel is the sap extracted from various species of pulque agave, mainly A. americana, A. atrovirens, A. ferox, A. mapisaga, and A. salmiana (Enríquez-Salazar et al., 2017), and it is a natural source of sugars, proteins, amino acids, and minerals. Furthermore, due to the presence of phenolic compounds, fructooligosaccharides, saponins, and vitamin C, it can be considered a beverage with nutraceutical potential (Guzmán-Pedraza & Contreras-Esquivel, 2018). Traditionally, aguamiel is used to produce pulque, an alcoholic beverage obtained through fermentation. However, a more efficient alternative is the production of a concentrate, known as agave syrup or maguey honey, which is obtained by exposing aguamiel to a thermal process to concentrate the sugars (de la Rosa et al., 2023; Martínez-Zavala et al., 2023).
To use aguamiel as a nutraceutical beverage or as raw material for agave syrup production, it is essential to preserve its physicochemical and functional properties, such as sugar concentration and bioactive compound content, during storage. However, the main challenge lies in minimizing the spontaneous fermentation process that occurs after aguamiel is collected, as its chemical composition promotes the growth of microorganisms. The primary microorganisms found in aguamiel include yeasts from the genera Candida, Kluyveromyces, Saccharomyces, and Clavispora, as well as bacteria from the genera Lactobacillus, Leuconostoc, and Acetobacter. These microorganisms contribute to the alcoholic, acidic, and viscous fermentation of aguamiel (Enríquez-Salazar et al., 2017), which negatively impacts its flavor and the yield of agave syrup production, ultimately hindering its potential for fresh commercialization. Thus, applying preservation methods during the transportation and storage of aguamiel is crucial to maintaining its properties.
To reduce or inhibit the spontaneous fermentation process, as well as minimize nutritional and functional losses, thermal treatments are commonly used to ensure the safety of products. However, these treatments can cause undesirable changes in color, flavor, and functionality, which has led to the exploration of emerging non-thermal technologies such as ozonation (García-Mateos et al., 2019).
Ozone is a highly effective oxidizing agent, and its antimicrobial capacity is due to the inactivation of microorganisms through the destruction of various cellular components, such as the cell wall and membrane (Pandiselvam et al., 2022). Furthermore, it has been reported that its application in food and beverages helps maintain organoleptic, nutritional, and functional quality. Zardzewiały et al. (2023) noted that wheat beers enriched with rhubarb petioles (Rheum rhabarbarum) treated with ozone (50 ppm for 30 min) were more microbiologically stable than untreated beers. Gorzelany et al. (2024) observed that ozonation improved the microbiological stability of Japanese quince and beers supplemented with this treated fruit. Chauhan and Negi (2024) stated that ozone inhibits microbial growth in apple juice, and Wang et al. (2024) demonstrated ozone’s potential to reduce the concentration of two Alternaria mycotoxins (alternariol and alternariol monomethyl) in orange juice without affecting its quality.
It is important to consider that the effectiveness of ozone in reducing microorganisms depends on various parameters, such as time, dosage, temperature, pressure, and relative humidity. Additionally, intrinsic factors of the food, such as pH, conductivity, and chemical composition, can influence the effectiveness of the treatment (Epelle et al., 2023). This highlights the need to continue studying the application of ozone in highly perishable products, such as aguamiel. To date, there is no information available on the impact of ozone on aguamiel during different storage stages prior to processing. Therefore, the aim of this study was to evaluate the effect of ozone application and re-ozonation on the microbiological stability, physicochemical properties (pH, total soluble solids [TSS], and titratable acidity [TA]), ethanol production (% v/v), and nutraceutical quality (total soluble phenolic compounds [TSPC] and antioxidant activity [AA]) in A. salmiana aguamiel.
Materials and methods
Aguamiel used in the research was obtained from pulque maguey plants (A. salmiana Otto ex Salm-Dyck cultivar Ayoteco) in Coatepec, Estado de México, during May 2021. Aguamiel was collected during 5 days in the morning from plants in intermediate production. The experimental unit consisted of 100 mL of aguamiel extracted from a composite sample of 1 L, with the collection day being established as a blocking factor.
The aguamiel was placed in glass bottles, previously sterilized, for preservation and transported at approximately 2 °C using dry ice. The estimated transportation time to the analysis site was 1 hour
Ozone application
Aguamiel ozonation was carried out using a semi-industrial ozone generator (PTA mini, Biozon, Mexico) with a fixed injection rate of 1.2 g∙h-1. Based on previous studies (García-Mateos et al., 2019), preliminary exposure times to ozone in aguamiel were evaluated. The results obtained, along with the interest in preserving the nutraceutical quality of the aguamiel, led to the selection of short exposure times (6 and 12 minutes of ozone) plus the control (0 minutes), because ozone, due to its oxidative capacity, can degrade phytochemicals (Tiwari et al., 2013).
The experimental units of aguamiel were placed in 300 mL glass cylinders to prevent spills. Ozone injection was performed using a perforated polypropylene hose, which was inserted into the glass cylinder to increase the contact of ozone with the sample.
Microorganism population count in aguamiel
The total microbial population (TMP) count was carried out in a Neubauer chamber. For this, 1 mL of violet crystal was diluted in 9 mL of sterilized water. Then, 0.5 mL of the sample was mixed with 0.5 mL of the previously diluted violet crystal. The count was performed using an optical microscope at 100× magnification in five quadrants, and the average was calculated. TMP was estimated using the following equation:
where Y is the average of five quadrants, FD is the dilution factor of the sample, 2 is the dilution factor for the stain, and 10 000 corresponds to the conversion factor from 0.1 µL to 1 mL (Arredondo-Vega & Voltolina, 2007).
The total yeast count (TYC) was performed following the methodology established by the Association of Official Analytical Chemists (AOAC, 2012) using YM 3MTM PetrifilmTM plates. Furthermore, the quantification of lactic acid bacteria was conducted on MRS agar (Sigma-Aldrich, EUA).
Physicochemical variables
The physicochemical variables evaluated were TSS, TA, pH, and ethanol concentration. TSS was determined using a portable digital refractometer (PAL-1®, ATAGO®, USA), and data was expressed in °Brix. TA was quantified by volumetric analysis and expressed as g of lactic acid per L of aguamiel. The pH was measured with a potentiometer (H1-2221, Hanna Piccolo®, USA). The last two variables were analyzed according to the methods described by AOAC (2005).
Ethanol concentration was quantified using the headspace technique described by Davis and Chace (1969). For this, 5 mL of aguamiel was placed in a 26 mL glass container, which was hermetically sealed. Then, using a 1 mL syringe, the air from the headspace was extracted and injected into a gas chromatograph (7890a, Agilent Technologies®, USA) equipped with a capillary column (Varian Star 3400, USA), a thermal conductivity detector (TCD), and a flame ionization detector (FID). Helium was used as the carrier gas. Before analysis, an ethanol standard of known concentration was injected to obtain the calibration curve. The results were expressed as a percentage of ethanol (v/v).
Nutraceutical variables
Extract preparation
Aguamiel was dissolved in 80 % (v/v) aqueous methanol to obtain an extract concentration of 30 % (v/v). The mixture was homogenized using a vortexer (Maxi-Mix II, M63215, Thermolyne, USA) and incubated at 4 °C for 24 h. Subsequently, the extract was centrifuged (YV-17414-21, Cole-Parmer®, USA) at 2 598 × g for 5 min to separate the supernatant and remove insoluble solids that could interfere with phytochemical quantification. This methanolic extract was used to determine the TSPC content and the AA in aguamiel.
Quantification of total soluble phenolic compounds
This determination was performed using the Folin-Ciocalteu method (Singleton & Rossi, 1965). For this, 0.2 mL of methanolic extract was mixed with 2 mL of water and 0.2 mL of Folin-Ciocalteu reagent (2 N, Sigma-Aldrich) and allowed to rest for 3 min. Then, 0.8 mL of Na2CO3 (7.5 % w/v) was added, and the mixture was left in the dark at room temperature for 1 h. Finally, absorbance was measured at 760 nm using a spectrophotometer (Genesys 10s, Thermo Fisher Scientific, USA). Quantification was performed using a standard curve of gallic acid: y = 5.9982x - 0.0025; R2 = 0.992. The results were expressed as mg of gallic acid equivalents per 100 mL of aguamiel (mgGAE∙100 mL-1).
Determination of antioxidant activity
ABTS+• Assay. The antioxidant capacity based on ABTS+• radical scavenging was determined according to the method described by Miller and Rice-Evans (1996), with some modifications. First, a 7 mM ABTS+• solution was prepared in distilled water, along with a 2.45 mM K2S2O8 solution, and both were mixed in a 1:1 ratio. The resulting solution was left in the dark for 16 h and then diluted with anhydrous ethanol until an absorbance of 0.7 ± 0.01 at 734 nm was obtained. An 80 % (v/v) aqueous methanol solution was used as a blank. Separately, 2 000 µL of the ABTS+• solution was mixed with 20 µL of the sample extract and allowed to react in the dark at room temperature for 30 minutes. The absorbance of the mixture was then measured at 734 nm using a spectrophotometer (Genesys 10s, Thermo Fisher Scientific, USA). Antioxidant activity (AA) was quantified using a Trolox standard curve: y = 41.721x + 3.9051; R2 = 0.991, and the results were expressed as micromoles of Trolox equivalents per 100 mL of fresh-weight aguamiel (μMTE∙100 mL-1).
FRAP Assay. Antioxidant activity using the FRAP assay was conducted following the methodology proposed by Benzie and Strain (1996). To prepare the FRAP reagent, an acetate buffer solution (300 mM, pH 3.6), a ferric-2,4,6-tripyridyl-s-triazine (TPTZ) solution (10 mM in 40 mM HCl), and FeCl3 (20 mM) were mixed in a 10:1:1 ratio. Subsequently, 3 mL of the FRAP reagent, 300 μL of distilled water, and 100 μL of methanolic extract were combined. The mixture was incubated in a water bath at 37 °C for 30 min, and absorbance was measured at 593 nm using a spectrophotometer (Genesys 10s, Thermo Fisher Scientific, USA). AA was quantified using a Trolox standard curve: y = 0.0012x - 0.0269; R2 = 0.9965. Results were expressed as micromoles of Trolox equivalents per 100 mL of fresh-weight aguamiel (μMTE∙100 mL-1).
Statistical analysis
The experiment was conducted using a randomized complete block design with a 3 × 4 factorial structure. Due to the nature of the study, the experimental design was analyzed using a mixed-effects model (Zhao, 2019), which leads to more robust results and a higher degree of generalization in the conclusions. The evaluated levels included three ozone application times (0, 6, and 12 min) and four storage times (0, 12, 24, and 48 h). The blocking factor was the collection period of the experimental material due to the variability of aguamiel between harvest days. This structure resulted in twelve treatments, each with five replicates.
In the mixed-effects model, the blocking factor was treated as a random effect, whereas ozone application time, storage time, and interaction were considered fixed effects. All results were expressed as mean ± standard error, and Tukey-Kramer’s multiple comparison test (α = 0.05) was applied. Statistical analysis was performed using SAS version 9.0 (SAS Institute Inc., 2002).
Results and discussion
One of the main challenges in the agave syrup production industry is reducing or preventing the fermentation of aguamiel during its transportation to the processing facility. Aguamiel harbors a microbial consortium, making it highly susceptible to fermentation within short periods. Therefore, it is crucial to use appropriate quantification methods to determine the concentration of microorganisms in a specific volume and time.
From a technical perspective, the use of a Neubauer chamber is a viable option for microbial count, as it is a fast and direct method to know the morphology of the microorganisms present. By complementing these results with morphological and structural descriptions available in the literature, it is possible to infer the types of microorganisms present in aguamiel. However, seeding on selective culture media is necessary to confirm microbial identity. In this study, the aforementioned approach was applied for the identification of microorganisms (Figure 1).

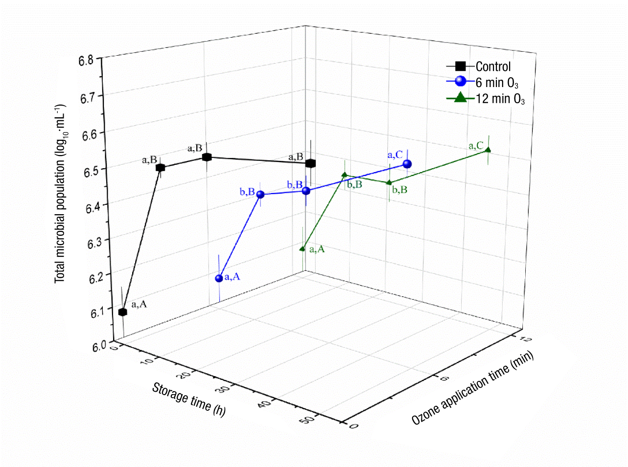
Total microbial population
According to the morphological characteristics observed, microorganisms of bacilli and yeast groups were identified (Figure 1). The presence of bacilli is mainly associated with lactic acid bacteria (LAB), where the genus Leuconostoc stands out, characterized by short bacilli arranged in a chain (Rao et al., 2023).
Torres-Rodríguez et al. (2014) reported a high abundance of LAB in traditional fermented beverages and identified Leuconostoc mesenteroides in agave sap, considered one of the most important LAB in the fermentation process of aguamiel. On the other hand, Enríquez-Salazar et al. (2017) identified various genera of LAB and yeasts with potential industrial applications, such as Acetobacter, Lactobacillus, Leuconostoc and Clavispora.
In the present study, it was observed that during the first 24 hours of storage, TMP in the control group was statistically higher (p < 0.05) than in the ozone treatments (Figure 2). Between 12 and 24 h, no significant increase in microorganisms in aguamiel was observed, with an average of 6.56 and 6.39 log10∙mL-1 in the control group and ozone-treated samples (6 and 12 min), respectively. After 48 hours of storage, the effect of ozone ceased to be significant, with an average TMP of 6.57 log10∙mL-1 in all three treatments.

Viable cells
Once TMP was quantified, the presence of viable LAB and TY was determined by counting colony forming units (CFU) on selective culture media. These tests were conducted only on samples stored for 24 and 48 h, with 0 and 12 min of ozone exposure (Table 1). Statistical analysis revealed a significant interaction (p < 0.05) between these variables. The treatment with 12 min of ozone application at 24 h resulted in a significantly lower count compared to the treatment without ozone at 48 h of storage, for both LAB and TY counts.
Table 1.
| Microorganisms | Storage time (h) | Ozone exposure time (min) | |
|---|---|---|---|
| 0 | 12 | ||
| LAB (log10 CFU∙mL-1) | 24 | 5.26 ± 0.04 ab | 5.01 ± 0.18 bc |
| 48 | 5.98 ± 0.16 a | 5.86 ± 0.24 ab | |
| TY (log10 CFU∙mL-1) | 24 | 5.85 ± 0.12 ab | 5.70 ± 0.05 bc |
| 48 | 6.68 ± 0.04 a | 6.28 ± 0.33 ab | |
Temperature was likely a factor influencing microbial growth during the first 48 hours, as the samples were maintained at 25.44 ± 1.18 °C. It has been reported that microbial growth is affected by storage temperature. LAB show optimal growth between 28 and 37 °C, while yeasts can develop between 10 and 50 °C, with optimal growth occurring between 20 and 35 °C (Lin et al., 2012; Velázquez-López et al., 2018). Therefore, future research should evaluate the synergistic effect of ozone and refrigeration.
Physicochemical characterization
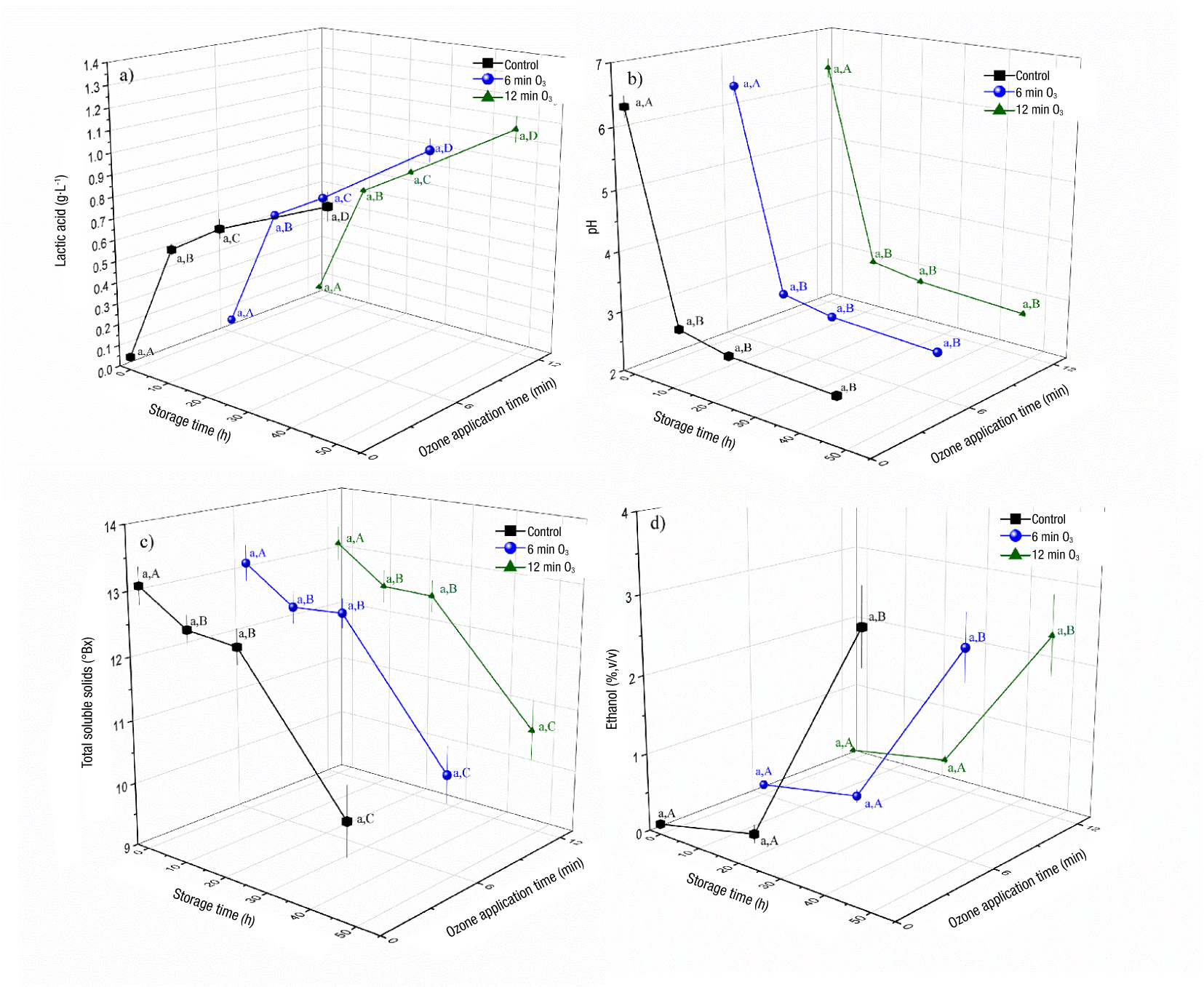
The parameters of TA, pH, and TSS are closely related to the results presented in Table 1, as LAB and TY are the primary agents responsible for fermentation, a process that affects the quality of aguamiel.
Titratable acidity
The presence of LAB in aguamiel allows for the quantification of lactic acid (one of the main metabolites of LAB) as an indicator of the fermentation process onset. The effect of ozone on lactic acid production in aguamiel remained consistent with storage times (Figure 3a), with no significant differences (p < 0.05) between ozone application levels (lowercase letters). This may be related to the significant increase in viable cells responsible for lactic acid production. On the other hand, storage time had a significant effect (p < 0.05) on lactic acid production, with an average increase from 0.06 to 1.04 g∙L-1 after 48 h. This increase can be attributed to LAB activity, as they primarily produce lactic acid as the final product of sugar fermentation (Ojo & de Smidt, 2023). In aguamiel, it has been observed that during acidic fermentation, important metabolites such as lactic acid are generated, mainly by Lactobacillus sp. and Leuconostoc sp. (Escalante et al., 2016).

pH
The ozone application time had no significant effect on the aguamiel pH; however, the storage period did have a significant influence (p < 0.05). A drastic decrease in pH was observed during the first 12 hours of storage, dropping from an average of 6.36 to 2.99 (Figure 3b). Acidification in fermentation systems may be related to the production of organic acids (Contreras-López et al., 2023), which agrees with the increase observed in lactic acid in aguamiel (Figure 3a).
Total soluble solids
TSS provide information about the content of sugars, organic acids, and inorganic compounds. Figure 3c shows that ozone application times have no significant effect on TSS (p < 0.05, lowercase letters). However, TSS concentration significantly decreased after 48 hours of storage (p < 0.05). This behavior can be attributed to the transformation of sugars into ethanol and exopolysaccharides by yeast and bacterial activity during fermentation (Garcia-Arce & Castro-Muñoz, 2021).
Ethanol concentration
Due to the non-significant changes in pH and TSS between 12 and 24 h, ethanol quantification was performed only at 0, 24, and 48 h of storage. In this regard, a low ethanol concentration was observed during the first 24 h of storage, with ethanol production ranging from 0.13 % to 0.40 % (v/v) (Figure 3d). However, ethanol production showed a significant increase (p < 0.05) at 48 h. Similar to other variables, ozone application time showed no effect (p < 0.05) on ethanol production, as all treatments had a similar increase after 48 hours of storage. Although the control treatment reached the highest ethanol concentration (3.18 % v/v), this was not statistically different from the ozone-treated samples, suggesting that the ozone application failed to slow down the fermentation process under the evaluated conditions.
Despite the increase in ethanol concentration, the values obtained were lower than those reported by Cervantes-Contreras and Pedroza-Rodríguez (2007) for the different fermentation stages of aguamiel during pulque production. Their study reported ethanol concentrations ranging from 7.01 % to 7.03 % (v/v) of ethanol in seed (pulque fermented for 60 days), 6.25 % to 6.34 % in the contrapunta (pulque fermented for 24 h, a 1:1 mixture of aguamiel and seed), and up to 10.35 % in corrida (pulque fermented for 48 h, the final stage). Ethanol production is closely related to the activity of yeasts from the Saccharomyces genus, which are recognized for their predominant role in the alcoholic fermentation of traditional beverages such as pulque (Rocha-Arriaga & Cruz-Ramírez, 2022). The persistence of these yeasts could explain the observed ethanol increase, even in ozone-treated samples.
Nutraceutical quality
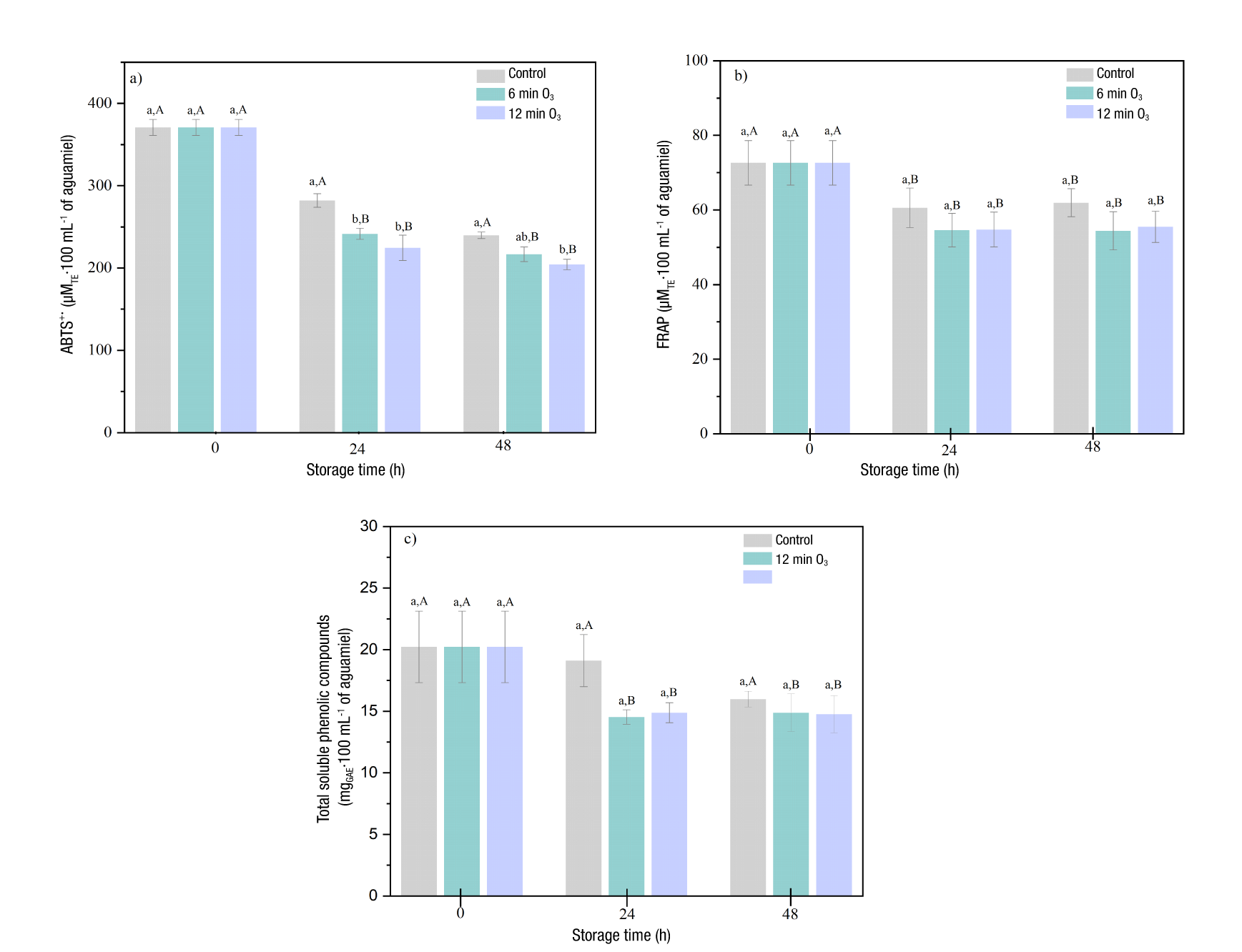
Antioxidant activity (AA)
The AA determined using the ABTS+• assay was affected by different ozone application times (Figure 4a). After 24 h of storage, the application of ozone for 12 min reduced AA by 22.9 % compared to the control (0 min of ozone) (Figure 4a). These results are similar to those reported by Panigrahi et al. (2020), who observed a 30 % reduction in AA when treating sugarcane juice with ozone at a concentration of 26.4 %. In contrast, the analysis using the FRAP method (Figure 4b) showed no significant differences (p < 0.05) in AA due to ozone exposure during the 48 h of storage, with average values ranging from 54.42 to 72.64 μMTE∙100 mL-1. The difference between the two methods could be attributed to the sensitivity of the ABTS+• assay, which is known for its ability to detect a broad range of antioxidant compounds in both hydrophilic and lipophilic matrices (Munteanu & Apetrei, 2021). This characteristic could explain the detection of ozone effects in the ABTS+• assay compared to the FRAP assay.

On the other hand, AA gradually decreased in all experimental units after 48 h of storage, with no statistical differences between the ozone application times (Figures 4a,b).
Total soluble phenolic compounds
Ozone application had no significant effect (p < 0.05) on the content of TSPC in aguamiel (Figure 4c), suggesting that ozone can be applied to aguamiel without affecting its nutraceutical properties. This finding agrees with previous studies indicating that the impact of ozone on liquids is usually minimal compared to other technologies. Panigrahi et al. (2020) observed a slight decrease (13.5 %) in TSPC content in ozone-treated sugarcane juice, while Arı et al. (2020) reported that ozone application helped preserve the quality characteristics of apple juice, including TSPC content.
On the other hand, the storage time significantly affected (p < 0.05) the content of TSPC in the ozone treatments (Figure 4c). This could be attributed to the autooxidation of TSPC in the presence of oxygen, polyphenol oxidases, and peroxidases (Zhang et al., 2022). Furthermore, significant changes in the physicochemical properties of aguamiel were detected starting at 24 h (Figure 3), which could indicate the beginning of the fermentation process, which may have affected the reduction of TSPC. Melini and Melini (2021) suggest that the decrease in TSPC could be due to degradation or hydrolysis caused by enzymes and microorganisms.
Re-ozonation
After 48 h of storage, ozone was reintroduced into the experimental units of the six treatments. Table 2 shows the results of the eight variables evaluated, and no significant interaction between the factors was observed. The comparisons made contrast the levels of one factor within each level of the second factor.
Table 2.
| Variables | Time (h) | Ozone exposure time (min) | ||
|---|---|---|---|---|
| 0 | 6 | 12 | ||
| TMP (log10 ∙mL-1) | 48 | 6.63 ± 0.05 aA | 6.56 ± 0.03 aA | 6.52 ± 0.04 aA |
| 72 | 6.68 ± 0.04 aB | 6.62 ± 0.03 aB | 6.59 ± 0.02 aB | |
| TA(g∙L-1) | 48 | 0.98 ± 0.05 aA | 1.09 ± 0.05 aA | 1.07 ± 0.05 aA |
| 72 | 1.22 ± 0.06 aB | 1.20 ± 0.06 aA | 1.23 ± 0.09 aB | |
| pH | 48 | 2.78 ± 0.04 aA | 2.74 ± 0.05 aA | 2.73 ± 0.04 aA |
| 72 | 2.64 ± 0.03 aB | 2.68 ± 0.04 aA | 2.69 ± 0.03 aA | |
| TSS (°Brix) | 48 | 10.48 ± 0.52 aA | 10.52 ± 0.43 aA | 10.64 ± 0.46 aA |
| 72 | 8.06 ± 0.22 aB | 8.12 ± 0.28 aB | 8.60 ± 0.58 aB | |
| Ethanol (%, v/v) | 48 | 3.18 ± 0.44 aA | 2.59 ± 0.42 aA | 2.37 ± 0.52 aA |
| 72 | 5.95 ± 0.60 aB | 5.71 ± 0.69 aB | 4.75 ± 0.70 aB | |
| TSPC (mgGAE∙100 mL-1) | 48 | 15.99 ± 0.64 aA | 14.89 ± 1.52 aA | 14.77 ± 1.50 aA |
| 72 | 15.22 ± 0.48 aA | 12.98 ± 1.31 aB | 12.17 ± 1.50 aB | |
| AA per ABTS+• (μMTE∙100 mL-1) | 48 | 239.81 ± 3.91 aA | 216.71 ± 8.94 bA | 204.37 ± 6.31 bA |
| 72 | 242.26 ± 14.69 aA | 185.88 ± 11.18 bB | 158.99 ± 15.33 bB | |
| AA per FRAP (μMTE∙100 mL-1) | 48 | 61.94 ± 3.78 aA | 54.42 ± 5.10 aA | 55.49 ± 4.18 aA |
| 72 | 58.17 ± 6.13 aA | 42.31 ± 2.72 bB | 38.03 ± 4.75 bB | |
Re-ozonation showed no significant effect (p < 0.05, lowercase letters) on TMP, TA, pH, TSS, ethanol concentration, or TSPC during the 48 to 72 h period (Table 2). This can be attributed to the influence of various factors on ozone efficiency, such as the pH of the medium, temperature, humidity, concentration, and contact time, sample composition, type of microorganisms, and their physiological state, among others (Kim et al., 2003; Xue et al., 2023). In this regard, since the aguamiel samples had an acidic pH (2.64 - 2.78), the effectiveness of the ozone was negatively affected. In particular, the acidic pH of aguamiel (2.64 - 2.78) reduced the ozone’s effectiveness, because its oxidative capacity is greater in basic environments due to the formation of hydroxyl radicals, whose oxidation potential exceeds 2.80 V (Panigrahi et al., 2020).
The storage time (48 h vs. 72 h) had a significant effect (p < 0.05, uppercase letters), reducing the values of the nutraceutical and physicochemical variables, except for TA and TMP, which showed a significant increase (p < 0.05) from 48 to 72 h in the treatment with 12 min of ozone exposure.
pH is a critical factor in ozone reactivity. In acidic media, its efficiency is limited due to the lower generation of hydroxyl radicals, whereas in alkaline conditions, the formation of reactive species (such as hydroxyls, hydroperoxides, and superoxides) enhances its oxidative action, which facilitates the disintegration of microbial cell walls due to oxidative stress and induces cell lysis (Martins-Pinheiro et al., 2019; Xue et al., 2023). According to Xue et al. (2023), the effectiveness of ozone is also closely related to temperature, as its stability improves in acidic media when combined with low temperatures (pH 3.0 and 8.0 °C). Therefore, it is suggested that future research evaluate the synergistic effect of ozone and refrigeration on the microbiological and biochemical stability of aguamiel.
Based on the results shown in Figures 2 and 3, it is suggested that re-ozonation of aguamiel at 24 hours of storage could significantly reduce the microbial load. This is because, at 24 h, TMP was lower, and some physicochemical properties (TSS and ethanol concentration) remained more stable compared to the samples stored for 48 h.
Finally, it is important to highlight that re-ozonation significantly affected the AA of aguamiel quantified by both methods (Table 2). Samples exposed for 6 and 12 min of ozone showed a 35 % decrease in AA at 72 hours of storage compared to the control.
Conclusions
Aguamiel exposed for 6 and 12 min to ozone maintained a low total microbial population during the first 24 hours of storage compared to the control. However, ozone did not help preserve the original physicochemical and nutraceutical quality of aguamiel. Re-ozonation applied at 48 hours of storage had only impact on antioxidant activity, reducing it by up to 35 % compared to the control, without contributing to microbial stabilization. Due to the lack of information on the use of non-thermal technologies for aguamiel preservation, the results of this study provide a foundation for future research focused on the preservation of traditional beverages. It is recommended to explore the potential synergistic effect between ozone and refrigeration to improve the shelf life of aguamiel, as in the present study, the treatments were stored at room temperature.

